

泵進口管徑d:32 mm
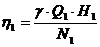
值和其相應泵輸入功率
值,泵1的效率η1,在H—Q、N—Q、η—Q坐標系中得到相應測點,將這些點光滑地連接起來,從而就可以繪出泵的H—Q曲線、N—Q曲線、η—Q曲線等特性曲線。


——電機的效率,取
,
值可以得出相應的
和
值,由此可得該流量下得相應效率
值:
。| No | M(Mpa) | V(Mpa) | G(Kg) | n(轉/分) | Q(Kg/s) | 備注 |
| W(立方)t(秒) | ||||||
| 1 | ||||||
| 2 | ||||||
| 3 | ||||||
| 4 | ||||||
| 5 | ||||||
| 6 |





品牌理念
標準流程
有效溝通
專業(yè)管理
優(yōu)秀團隊
品質保證
無憂售后
生產基地:上海松江葉榭工業(yè)園
業(yè)務電話:021-56311657 , 56411696 , 業(yè)務傳真:021-56411696 公司郵箱:shanghaimaoyu@126.com 教學設備廠 滬公網安備 31010702001294 號 滬ICP備13020377號-1 |